144
社区成员
发帖
与我相关
我的任务
分享
分治算法思想: 规模为n的原问题的解无法解决求出,进行问题规模缩减,划分子问题(子问题相互独立且和原问题的性质相同,只有问题的规模变小),一直递归划分到子问题可以很简单的求解,最后在将求出的小规模的问题的解合并为一个更大规模的问题的解,自底向上求出原问题的解。
分治法使用条件:
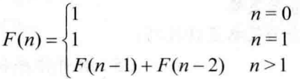
Fibonacci数列求解有两种算法,一种是累加循环求和,一种是利用分治思想递归求和,在本章使用分治思想进行求解
求解思路:
根据规律,数列中的数等于前两项的和,所以整个数列的和等于从最后一项一直加到第一项
递归关系式:

def fibonacci(n):
"""fibonacci数列求解"""
if n <= 1:
return 1
else:
return fibonacci(n - 1) + fibonacci(n - 2)
时间复杂度分析:

函数递归执行顺序是如图所示的二叉树结构,每个节点即是函数执行的次数
所以时间复杂度T(n) = O(2^(n - 2) + 1) = O (2^n)
思路:假设只有1、2、3三个数字,我们该把2加入,显然可以有两种方式,一种是插入到1之前,另一种是插入到1之后,也就是插空,得到[1,2],[2,1],同理,下面插入3,显然,对于[1,2],有三个空,把3分别插入,也就得到三种,对于[2,1],也有三个空,把3分别插入,也得到三种。当然,这两大种情况一定不会重复,因为1和2的位置(先后顺序)是不同的。这样我们得到了由一个元素,两个元素,三个元素分别形成的全排列。
def permute(nums):
length = len(nums)
result = [[[nums[0]]]]
if length == 1:
return result[0]
else:
for i in range(1, length):
result.append(list())
for j in result[i - 1]:
for k in range(len(j) + 1):
j.insert(k, nums[i])
result[i].append(list(j))
j.pop(k)
return result[length - 1]
if __name__ == '__main__':
n = int(input())
my_list = [i for i in range(1, n + 1)]
res = permute(my_list)
for r in res:
for i in r:
print(i, end='')
print()

时间复杂度分析:
计算排列情况的时候有三层循环,首先是计算长度,再是对列表中的元素遍历进行插入,所以时间复杂度为O(n^3)
Karatsuba’s 大整数乘法

大整数乘法原理是将大数分成两段后变成较小的数位,然后做3次乘法
主要步骤有两步:
分解。将大整数X、Y(分别为n,m位)分别为A、B、C、D。值得注意的是如果位数n或m为奇数,则A为前n/2+1或m/2+1位,n/2或m/2向下取整;
计算。分别计算AC、BD,并且利用AC和BD计算AD+BC。
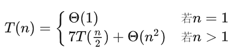
Strassen矩阵乘法
两个大小为 2 * 2 的矩阵相乘,一般需要进行 8 次乘法。而Strassen矩阵乘法可以减少一次乘法,只需要 7 次,在数据量很大的情况能够有效减少矩阵乘法运算的时间。
普通矩阵乘法示意图:

Strassen矩阵乘法示意图:

对比普通的矩阵相乘,这种矩阵相乘运用了递归分治的策略,其递归表达式为:

计算时间复杂度为O(log7n/2)
二分搜索算法是分治思想的典型应用,以一组需要查找的数组为例:
假使需要搜索的元素总共有n个,那么二分后每次查找的区间大小就是n,n/2,n/4,…,n/2^k(接下来操作元素的剩余个数),其中k就是循环的次数。
最坏的情况是K次二分之后,每个区间的大小为1
n/(2^K)肯定是大于等于1,也就是N/(2^K)>=1,计算时间复杂度是按照最坏的情况进行计算,也就是是查到剩余最后一个数才查到我们想要的数据,也就是
n/(2^K)=1
=>n=2^k
可得k=log2n,(是以2为底,n的对数),所以时间复杂度可以表示T(n)=O(logn)
相同点
不同点