125
社区成员
发帖
与我相关
我的任务
分享团队ID:05
团队名称:IK组
小组成员:康凯凯 曹翊民 陈培杰 何仙春 黄宇霖 姜前辰 李志鹏 于淞 王武平 周煌伟
| 组员 | 完成任务 | 完成时长 | 遇到问题 | 处理方式 | 成员贡献度 |
|---|---|---|---|---|---|
| 康凯凯 | 撰写冲刺计划的相关博客,正在学习前端基础知识 | 8h | github上传出bug了,导致push不上去文档仓库 | 无法解决git push的问题,直接用github desktop上传 | 90% |
| 王武平 | 聊天spa主体布局,路由设计 | 10h | 聊天界面缺少合适的组件库;没有使用过vue-router | 最终自己从头设计并实现布局和样式,快速学习router基本使用 | 130% |
| 李志鹏 | 完善后端功能模块,优化代码 | 6h | 优化时出现bug | 检查逻辑,补充条件 | 130% |
| 周煌伟 | 优化群消息 | 10h | 暂无 | 无 | 130% |
| 曹翊民 | 完成jquery的使用,继续学习vue框架的基本知识 | 11h | vue的用途是什么?如何运用?(目前还未解决) | 通过网络搜索,查找相关的资料,查看别人的代码来理解 | 78% |
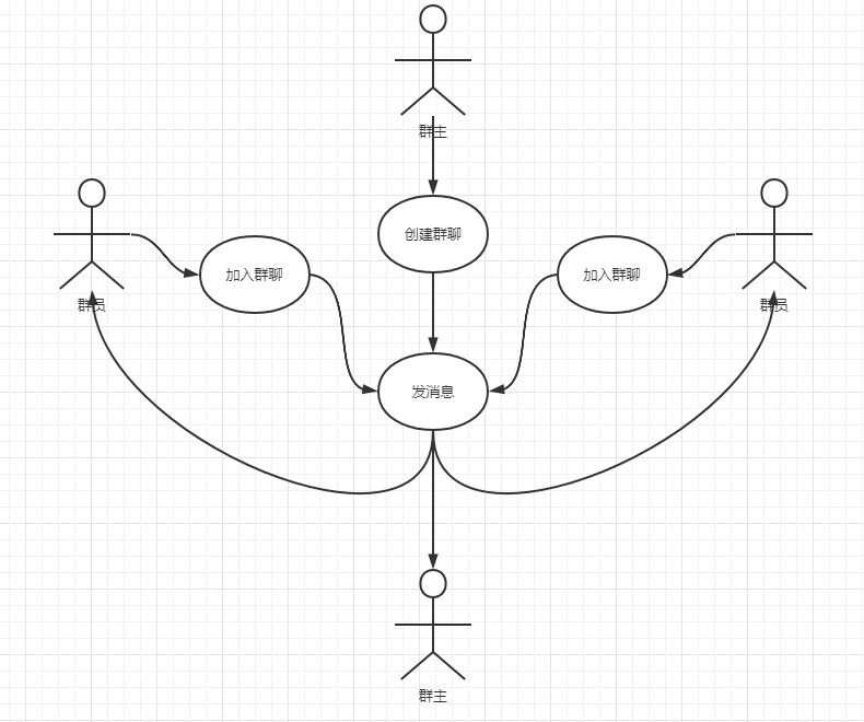
| 何仙春 | 绘制UML,学习完前端,进行数据与bug测试,接下来打算学习javaweb课程 | 6h | 测试时对数据之间联系不熟悉 | 自己翻阅后端代码,并询问负责建表的同学 | 88% |
| 陈培杰 | 学习了Springboot | 10h | 暂无 | 百度,csdn | 120% |
| 黄宇霖 | 学习react基础部分 | 10h | react基础知识还是没有掌握 | 请教大佬,查询相关知识 | 78% |
| 姜前辰 | 完成学习html,css | 7h | 有些界面复杂,html不好实现 | 利用了部分vue参与解决 | 78% |
| 于淞 | 学习了Java | 10h | 暂无 | 询问同学 | 78% |
依据中期答辩收到的建议,制定了完善计划:增加“小组”功能等等
进行了阿尔法冲刺的分工,部署了之后的工作目标









开发的进展 :
基本功能都已实现,比如私聊、群聊、查找历史记录、查找好友、好友申请、导师和学生双向选择功能、后台添加学生信息,并生成账号、通过后台开启选课,结束选课直接生成相应群聊。
正在实现小组功能。
燃尽图

