125
社区成员




团队ID:05
团队名称:IK组
小组成员:康凯凯 曹翊民 陈培杰 何仙春 黄宇霖 姜前辰 李志鹏 于淞 王武平 周煌伟
组员 | 完成任务 | 完成时长 | 遇到问题 | 处理方式 | 成员贡献度 |
---|---|---|---|---|---|
康凯凯 | 撰写冲刺计划的相关博客,正在运用js解决一些WebGL的问题 | 6h | 又有很多没见过的函数,需要熟练运用 | 阅读相关书籍 | 90% |
王武平 | 导师和指导的学生小组之间相互联系的页面 | 9h | 导师和学生使用的页面是相同的,但是导师和学生后端需要返回的数据和格式不同 | 在前端对后端api返回的数据进行筛选和转换 | 130% |
李志鹏 | 收尾,测试 | 8h | 暂无 | 无 | 130% |
周煌伟 | 优化 | 3h | 暂无 | 无 | 130% |
曹翊民 | 对前端动画制作有了进一步的理解,简单学习了前后端对接 | 5h | 后端返回给前端的数据格式不对,无法直接使用 | 上网搜,问同学 | 78% |
何仙春 | 基本学习完了javaweb,已经成功跑成了一个管理项目 | 6h | 过程中的一些使用细节有点问题,比如传空值的处理 | 根据bug修改程序代码 | 88% |
陈培杰 | 学习springboot | 5h | 级联查询和@Requestparam注解的使用 | 向后端同学寻求帮助 | 120% |
黄宇霖 | 继续深入学习springboot的具体内容 | 10h | 暂无 | 无 | 78% |
姜前辰 | 实现了前后端交互 | 6h | 前端运行时有奇怪bug | 解决后端sql语句的问题 | 78% |
于淞 | 学习springboot | 4h | 暂无 | 询问同学 | 78% |
会议内容
汇报了每个组员的完成工作
部署了之后的工作目标
前后端对接讨论
开发的进展 :
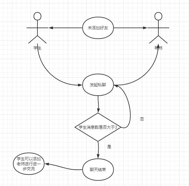
前端完善了导师和指导的学生小组之间相互联系的页面
后端开发完成临时聊天功能
燃尽图