社区
代码骑士学习社区
学习打卡
帖子详情
[CK]高等数学-第三章 微分中值定理与导数的应用-总习题
代码骑士
优质创作者: 游戏开发技术领域
2023-01-09 14:44:08
...全文
41
回复
打赏
收藏
[CK]高等数学-第三章 微分中值定理与导数的应用-总习题
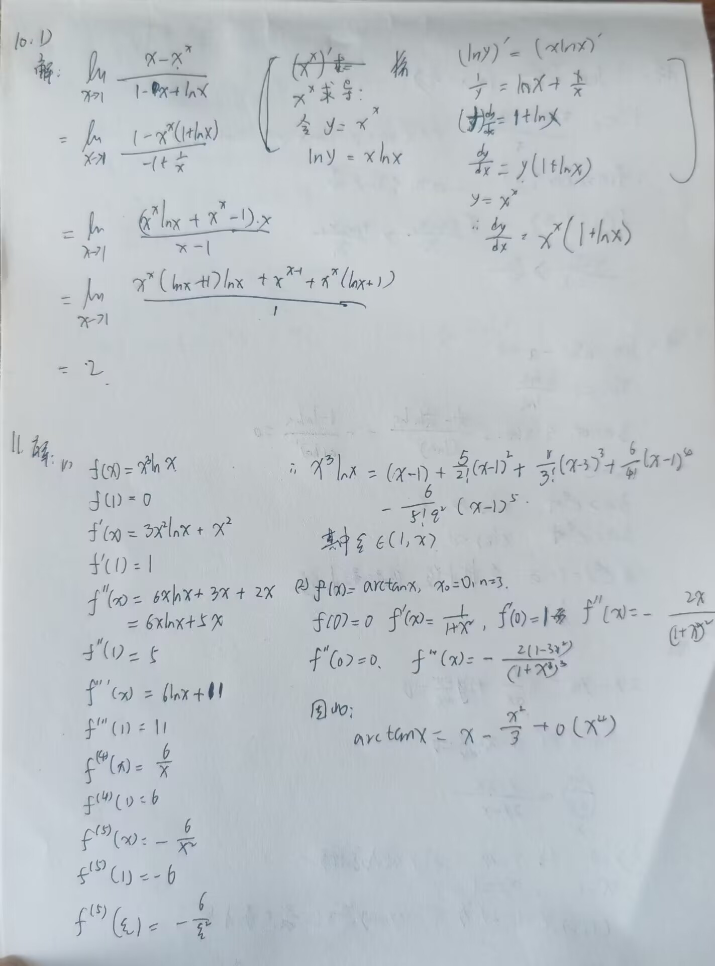
[图片]
复制链接
扫一扫
分享
转发到动态
举报
写回复
配置赞助广告
用AI写文章
回复
切换为时间正序
请发表友善的回复…
发表回复
打赏红包
第三章
微分中值定理
与
导数
的
应用
习题
课.pdf
《
第三章
微分中值定理
与
导数
的
应用
习题
课》主要涵盖了微积分中的核心概念和
应用
,包括洛必达法则、罗尔定理、拉格朗日中值定理、泰勒公式以及一系列与
导数
相关的知识点。这些定理和公式是解决实际问题和理解函数...
完整
第三章
微分中值定理
与
导数
的
应用
复习(1).doc
"
微分中值定理
与
导数
的
应用
复习"
微分中值定理
是数学分析中的一种重要定理,它们可以用来研究函数的性质和行为。本节我们将讨论
微分中值定理
的
应用
,包括 Rolle 定理、拉格朗日中值定理和洛必达法则等。 Rolle ...
第四章
微分中值定理
与
导数
的
应用
.doc
第四章
微分中值定理
与
导数
的
应用
微分中值定理
是数学分析中一个重要的理论,它揭示了函数的变化率和函数值之间的关系。
微分中值定理
可以用来判断函数的单调性、求函数的极值、判断曲线的凹凸性等。 一、微分中值...
第三章
微分中值定理
与
导数
的
应用
.rar.rar
微分中值定理
是微积分学中的核心概念之一,它揭示了
导数
与函数变化之间的深刻联系。在本章中,我们将深入探讨这个主题,理解
导数
在实际问题中的
应用
,以及如何利用
微分中值定理
进行证明和求解。 首先,
微分中值定理
...
高等数学
微分中值定理
与
导数
的
应用
东北大学出版
本章首先介绍了
微分中值定理
,包括罗尔中值定理、拉格朗日中值定理、柯西中值定理以及泰勒公式,这些都是
导数
应用
的基础。
微分中值定理
揭示了
导数
与函数之间深刻的几何关系。以罗尔中值定理为例,如果函数在闭区间...
代码骑士学习社区
20
社区成员
87
社区内容
发帖
与我相关
我的任务
代码骑士学习社区
有朋自远方来,不亦说乎
复制链接
扫一扫
分享
社区描述
有朋自远方来,不亦说乎
学习
个人社区
社区管理员
加入社区
获取链接或二维码
近7日
近30日
至今
加载中
查看更多榜单
试试用AI创作助手写篇文章吧
+ 用AI写文章