【七班】OpenMMLab AI实战营第四课——MMPreTrain

枫叶随樱花 2023-06-05 21:52:32

目录

一、MMPreTrain算法库

二、经典骨干网络

自注意力机制计算图

三、自监督学习

四、多模态算法

五、问题与思考


一、MMPreTrain算法库

MMClassification与MMSelfSup合并,同时增加多模态相关算法

代码库:MMPreTrain

文档:MMPreTrain文档

可完成图形分类图像描述视觉问答视觉定位以及检索

MMPreTrain的代码目录结构

 

apis:顶层API接口,支持各类推理任务

datasets:支持各类数据集、数据变换等

engine:支持各类钩子,优化器等训练相关组件

evaluation:各类评测相关函数和指标计算

models:各类算法模型的定义

  • backbones:一般为图像的特征提取器,各类主干网络的定义

  • necks:承接backbone和head之间的其他计算(例如高维特征解码,多尺度特征融合等)

  • heads:相关loss计算和推理结果的预测

  • classifier,selfup,multimodel则为模型高阶抽象定义(什么是高阶抽象定义?)

structures:DataSample数据结构的定义(统一数据流)

utils:相关工具

visualization:可视化的支持

MMPreTrain的数据流如图所示

二、经典骨干网络

经典深度神经网络:AlexNet(2012)、VGG(2014)、GoogleNet(2014)(简单堆叠层数)

ResNet

  • 问题点:当卷积退化为恒等映射的时候,深层网络和浅层网络相同;然而当深层网络在训练过程中很难找到更优的模型使得新增加的卷积层拟合一个近似恒等映射,从而导致精度的下降

  • 解决方法:残差建模,让新增加的层拟合浅层网络与深层网络之间的差异,更加容易学习梯度,可直接回传到浅层网络,从而监督浅层网络学习

  • 优点:没有引入额外参数,让参数更加有效地贡献到最终的模型中

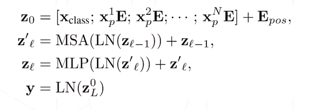
Vision Transformer

主要思路:

  • 将图像切分乘干16x16的小块(即无重叠,固定大小),所有块排列成“词向量”,先经过线性层映射,一张[H,W,C]维度的图片变为[L,C](图片token化),再经过Transformer Encoder的计算产生相应的特征向量

  • 图块之外加入额外的token,用于query其他patch的特征并给出最后分类

  • 注意力模块基于全局感受野,复杂度为尺寸的4次方

结构图如图所示

 简要计算步骤如图所示

自注意力机制计算图

一维注意力机制计算图

输入数据维度3x4,将Q与K相乘得到Q对应的一系列K,然后再将K与V相乘,得到K对应的V(如何理解QKV?)

 多头注意力机制

优点:不同头的注意力对不同的特征进行提取

三、自监督学习

A Simple Framework for Contrastive Learning of Visual Representations(2020)(对比学习)

基本假设:如果模型能够很好地提取图片内容的本质,那么无论图片经过什么样的数据增强操作,则提取出的特征都应极为相似

Masked Autoencoders Are Scalable Vision Learners(2022)(掩码学习)

基本假设:模型只有理解图片内容、掌握图片的上下文信息,才能恢复出图片中被随机遮挡的内容

四、多模态算法

Contrastive Language-Image Pre-Training(2021)

BLIP: Bootstrapping Language-Image Pre-training for Unified Vision-Language Understanding and Generation(2022)

BLIP-2: Bootstrapping Language-Image Pre-training with Frozen Image Encoders and Large Language Models(2023)

Flamingo: a Visual Language Model for Few-Shot Learning(2022)

Language Is Not All You Need: Aligning Perception with Language Models(2023)

Visual Instruction Tuning(2023)

五、问题与思考

1.在Vision Transformer以及自注意力机制中如何直观地理解Q、K、V?

2.多头注意力机制是否可以理解为多个自注意力进行堆叠?

3. 自监督学习中介绍两篇论文,好像都是利用Transformer进行构建的,有没有利用卷积进行构建的?现在Transformer作为视觉领域大火的模型结构,我还不太理解

4. 什么是多模态学习?为什么要研究多模态?多模态的神经网络与日常使用的卷积神经网络或者基于Transformer的视觉网络的区别是什么?优点是什么?缺点是什么?本次肯课程只能列几个课上引用的文章。。。完全没听懂,自监督也是,除了假设部分都没咋听懂。。。。。。

 

 

...全文
149 回复 打赏 收藏 转发到动态 举报
写回复
用AI写文章
回复
切换为时间正序
请发表友善的回复…
发表回复

535

社区成员

发帖
与我相关
我的任务
社区描述
构建国际领先的计算机视觉开源算法平台
社区管理员
  • OpenMMLab
  • jason_0615
加入社区
  • 近7日
  • 近30日
  • 至今
社区公告
暂无公告

试试用AI创作助手写篇文章吧