社区
C++ 语言
帖子详情
有大佬能指导一下吗?
2301_77427540
2024-05-22 15:51:13
...全文
478
1
打赏
收藏
有大佬能指导一下吗?
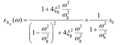
[图片]
复制链接
扫一扫
分享
转发到动态
举报
写回复
配置赞助广告
用AI写文章
1 条
回复
切换为时间正序
请发表友善的回复…
发表回复
打赏红包
walker7878
2024-05-22
打赏
举报
回复
1
看字面意思解决,检查中文英文输入
有
大佬
懂GCAM模型吗?求帮助呜呜
有
大佬
懂GCAM模型吗?有偿求帮助哇,模型参数设置求
指导
哇。
NC65开放请求接口出现要登录的情况,有
大佬
指导
下吗?
这是我的代码,4142是我回来百度看完加的,还是提示以下错误。我不太明白红框部分都接口进不去!!响应结果如下: 服务器centos,部署环境IBM ,有没有解决的办法呢?求各位
大佬
帮忙,谢谢???? ...
有哪些
大佬
是用过ROS(ubuntu16.04下的)与STM32f103开发板之间的通信,能给我
指导
指导
吗??
STM32f103ZET6 开发板 和 ROS 之间的通信 节点。 之前陆陆续续看了有一个月到ROS (ROS WIKI)上面,但是,我到现在还没整明白它们之间到关系;在网上看了很多的文章,博客;都给我整懵了,现在自己感觉很迷? 有
大佬
能给我指点迷津吗? ...
小白求助,jTessBoxEditorFX打不开
已经下载了jTessBoxEditor和jTessBoxEditorFX,只有jTessBoxEditor能打开,但是jTessBoxEditorfx打不开。已经配置好JDK ,版本是21.0.1,也下了javafx-sdk-21.0.1,但jTessBoxEditorFX还是打不开。我把javafx-sdk-21.0.1也配到环境里了但是还不行。有
大佬
能
指导
一下
吗?
求教
大佬
指导
,可有偿
想问
一下
有没有
大佬
在用GitHub和huggingface的 我是最近刚接触这两个开源社区 非程序员 所以完全看不懂上面的代码啥的 但是想在上面下载一些comfyui的大模型 却不知道在哪里下 有没有
大佬
指导
一下
给我大概通俗易懂的讲解
一下
这两个开源社区上面的每个版块的内容 (我不白嫖,也可以付费,线上
指导
,时间大概15-30分钟左右,¥100。只要能给我讲明白就好。或者有没有什么推荐的课程可以看来学习的呀!
C++ 语言
65,209
社区成员
250,518
社区内容
发帖
与我相关
我的任务
C++ 语言
C++ 语言相关问题讨论,技术干货分享,前沿动态等
复制链接
扫一扫
分享
社区描述
C++ 语言相关问题讨论,技术干货分享,前沿动态等
c++
技术论坛(原bbs)
社区管理员
加入社区
获取链接或二维码
近7日
近30日
至今
加载中
查看更多榜单
社区公告
请不要发布与C++技术无关的贴子
请不要发布与技术无关的招聘、广告的帖子
请尽可能的描述清楚你的问题,如果涉及到代码请尽可能的格式化一下
试试用AI创作助手写篇文章吧
+ 用AI写文章