573
社区成员
发帖
与我相关
我的任务
分享背景知识-LR/GLM应用场景及原理
广义线性模型建模场景举例
一、二分类问题:逻辑回归
二、广义线性模型(GLM):风险保费预测,根据要提供的保障责任,计算预期总索赔额
广义线性模型
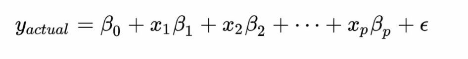
一、 回顾线性回归:它是GLM的一个基本形式,其假设响应变量𝑌的真实值由两部分组成

系统组件(system component ):线性预测器(数值项,可拟合)
误差组件(error component ):白噪声(高斯随机变量)
线性回归:响应变量𝑌的条件分布为高斯分布
GLM允许误差项的概率分布扩展为指数分布族:伯努利分布
(逻辑回归),泊松分布,gamma分布,复合泊松Gamma
分布,Tweedie分布等
二、广义线性模型的三个关键组件
1. 系统组件:
2. 随机组件
3. 连接函数
隐语模型-密态SSLR/SSGLM
一、广义线性模型参数估计

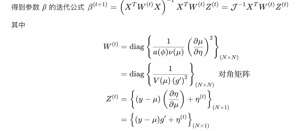
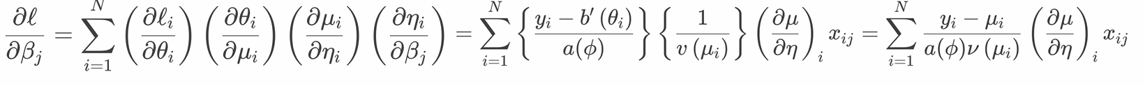
2. 二阶优化器:迭代重加权最小二乘法(IRLS)

3. 二阶优化器+一阶优化器
二、秘密分享加法
三、秘密分享乘法
应用实现-从理论到隐语应用
SSGLM参数解析



使用SSLR
使用SSGLM
SS-LR / SSGLM 在隐语实现的独特优势