1,040
社区成员
发帖
与我相关
我的任务
分享目录
设计一个由集中LC组成的滤波器。适用于3GHz以下应用。体积小,便于安装,无寄生通带,设计灵活。而由于电感元件0值较低,不宜在高矩形度、低插入损耗窄带情况下使用。
设计一个由微带或带状线组成的低通滤波器,即阶跃阻抗或高Z-低Z滤波器。
实现:
掌握使用ADS软件进行LC滤波器和阶跃阻抗低通滤波器的仿真设计。通过实际操作,熟悉ADS软件的操作界面、工具栏、元件库等,并掌握利用软件进行电路仿真、参数优化等基本技能。理解射频滤波器的工作原理,熟练掌握射频滤波器各项指标的计算,同时使用ADS软件对特定的滤波器类型进行仿真验证。
LC滤波器主要由电感(L)和电容(C)组成,通过调整电感和电容的数值,可以实现低通、高通、带通和带阻等不同的频率响应。在设计过程中,首先根据滤波器的性能指标(如截止频率、通带衰减、阻带衰减等)确定滤波器的阶数和元件参数。然后,利用ADS软件的原理图编辑器绘制滤波器电路,并设置仿真参数进行仿真分析。通过调整元件参数和仿真参数,优化滤波器的性能,直至满足设计要求。
阶跃阻抗低通滤波器是一种具有特殊结构的滤波器,其特点是在滤波器的输入和输出端之间插入一段或几段具有不同阻抗值的传输线段。这种结构能够有效地改善滤波器的频率响应和插入损耗特性。在设计过程中,首先根据滤波器的性能指标确定传输线段的阻抗值和长度。然后,利用ADS软件的原理图编辑器绘制滤波器电路,并设置仿真参数进行仿真分析。通过调整传输线段的阻抗值和长度以及仿真参数,优化滤波器的性能。
射频滤波器是一个二端口网络,它在通带内提供信号传输,并在阻带内提供衰减特性用以控制微波系统中某处的频率响应。设从一个端口输入一个具有均匀功率的频域信号,信号通过网络后,在另一端口的负载上吸收的功率谱不再是均匀的,也就是说,网络具有频率选择性,这就是一个滤波器。
滤波器的基础是谐振电路,它是一个二端口网络,对通带内频率信号呈现匹配传输,对阻带频率信号失配而进行发射衰减,从而实现信号频谱过滤功能。典型的频率响应包括低通、高通、带通和带阻特性。镜像参量法和插入损耗法是设计集总元件滤波器常用的方法,对于微波应用,这种设计通常必须变更到由传输线段组成的分布元件,Richard变换和 Kuroda恒等关系提供了这个手段。

图 1 滤波器的频率响应曲线
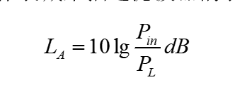
在滤波器中,通常采用工作衰减来描述滤波器的衰减特性,即
![]()
式中,Pin和PL分别为输出端匹配负载时的滤波器输入功率和负载吸收功率。为了描述衰减特性与频率的相关性,通常使用数学多项式逼近方法来描述滤波器特性。例如,巴特沃兹 (Butterworth)、切比雪夫(Chebyshev)、椭圆函数型(Elliptic)、高斯多项式(Gaussian)等。图2给出了这4种类型滤波器的基本特性。

图 2 四种滤波器的基本特性
滤波器设计通常需要由衰减特性综合出滤波器低通原型,再将原型低通滤波器转换到要求设计的低通、高通、带通、带阻滤波器。最后用集总参数或分布参数元件实现所设计的滤波器。
滤波器低通原型为电感电容网络,其中,元件数和元件值只与通带结束频率、衰减和阻带起始频率、衰减有关。设计中都采用表格而不用繁杂的计算公式。
实际滤波器设计中,首先需要确定滤波器的阶数,这通常由滤波器阻带某一频率处给定的插入损耗制约。
2、滤波器的主要参数指标
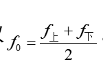
(1)中心频率f0:滤波器的中心频率f0,一般取

。其中f上、f下为带通或带阻滤波器左、右相对下降3dB的边频点。
(2) 截止频率f上截频、f下截频:指低通滤波器的通带右边的边频点及高通滤波器的通带左边的边频点。
(3) 通带带宽BW3dB:指需要通过的频谱宽度,BW3dB=f上-f下。其中f上、f下以中心频率f0处插入损耗为基准,下降3dB处对应的左、右边频点。
(4) 相对带宽:用BW3db/f0 *100% 表示,也常用来表征滤波器的通带带宽。
(5) 插入损耗(Insert Loss):引入滤波器对输入信号带来的损耗。常以中心频率或截止频率处的损耗表征。
(6) 带内波动△IR:通带内的插入损耗随频率变化的波动值。
(7) 带内驻波比VSWR:衡量滤波器通带内信号是否良好匹配传输的一项重要指标。理想匹配为VSWR =1: 1,失配时大于1。对于实际的滤波器,一般要求VSWR小于1.5: 1。
(8) 回波损耗(Return Loss):端口信号输入功率与反射功率之比的分贝数。
(9) 延迟(Time Delay):指信号通过滤波器所需要的时间。
(10)阻带抑制度Rf:衡量滤波器选择性能好坏的重要指标,指标越高说明对带外干扰信号抑制得越好。
(11)矩形系数K:用来表征滤波器对频带外信号的衰减程度,带外衰减越大,选择性越好。
矩形系数Kndb=BWndb/Bw3db ,n可为40dB、60dB等。滤波器的节数越高,K越接近于1,过渡带越窄,对带外干扰信号抑制得越好,制作难度也越大。
1、LC滤波器的设计
新建滤波器工程和设计原理图

点击

新建原理图并命名
在元器件模型列表窗口选择’Lumped Components’,

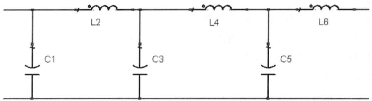
并选择电容’Capacitor C‘和其他元器件,在元器件面板列表中选择‘Simulation-S_Param’,并选择s参数模拟器和两个端口term放到原理图中,设定指定参数,导线连接如图3所示

图 3 LC滤波器仿真电路
双击电路中的SPI,打开参数设置对话框,并按下图进行参数设置

点击

进行仿真,仿真过程中若没有错误,将会出现如下界面

并点击箭头所在图标,按照下图操作



图 4 LC滤波器幅频响应曲线
由于实际滤波器会有参数的要求,滤波器的设计也不一定能一步到位,为了达到设计目的,需要对滤波器参数进行调节,

点击‘Tune‘,将弹出如下界面,

点击L1,出现下图界面,然后勾选L,并用同样的方法勾选C1,C2

,会出现这样的界面,然后进行调整,得到更符合条件的曲线

2、阶跃阻抗低通滤波器的仿真
利用最平坦滤波器原型的衰减的归一化频率关系计算4GHz归一化频率,即

通过图5最平坦滤波器原型的衰减的归一化频率的关系曲线,查看在4GHz处的插入损耗大于20dB所需最大平坦滤波器级数,n至少为6,我们取滤波器级数为6。

图 5 最平坦滤波器原型的衰减的归一化频率的关系曲线
通过表1得出巴特沃兹滤波器原型元件值,g1=g6=0.5176,g2=g5= 1.4142, g3=g4=0.9318,g7=1。低通原型器件电路如图6所示。

表 1 巴特沃兹滤波器低通滤波器原型元件值

图 6 滤波器低通原型电路
新建滤波器工程和设计原理图;在原理图界面放置元器件,搭建电路,添加8条微带线并连接,滤波器电路搭建完成;对滤波器中的微带电路的电器参数和尺寸进行设置;

图 7 阶跃阻抗低通滤波器

添加微带参数设置控件MSUB,设置介质基片参数如图

,在原理图中依次点击Tool-LineCalc-Start LineCalc,将窗口内容按照以下要求更改

将低通滤波器原型参数值按照以上步骤的方法计算出各滤波器支点的参数,利用微带线计算工具,通过电尺寸数据(微带线特性阻抗、微带线电长度),计算微带线的物理尺寸参数(微带线金属片宽度、微带线长度),将计算出来的物理尺寸参数填入,对于需要优化的微带线的长和宽先用变量替代,便于后续修改和优化。
结果如下:

因为MLIN的长度和宽度都是变量,所以要在原理图中添加变量控件VAR,在变量控件中添加上一步预留的变量和初始值,并添加合适的变量优化范围。


仿真参数设置和原理图仿真;设置仿真参数,添加测试端口和S参数模拟控制器,仿真频率范围:0GHz~5GHz,扫描步长:0.1GHz;仿真得到电路的S(2,1)参数和S(1,1)参数矩形图。


图 8 阶跃阻抗低通滤波器仿真参数
实验结果表明,滤波器在通带内的插入损耗较小,而在阻带内的衰减较大,符合设计要求。同时,通过调整电容和电感的数值,可以灵活地控制滤波器的截止频率和通带衰减等性能指标。在4.5GHz频率点开始大幅衰减,大于3GHz,符合题目要求。
阶跃阻抗低通滤波器优化后,在S(2,1)参数数据中,滤波器在带通范围内(0~2.5GHz)衰减小于1dB、阻带(>4GHz)衰减大于18dB,满足设计要求。在S(1,1)参数中输入损耗大于25 GHz,也满足设计要求。与LC滤波器相比,阶跃阻抗低通滤波器具有更好的频率选择性和插入损耗特性。这得益于其特殊的传输线段结构,能够有效地抑制高频信号的传输并减少信号的反射和损耗。
通过本次实验,成功地利用ADS软件仿真设计了LC滤波器和阶跃阻抗低通滤波器,并得到了满意的实验结果。实验过程中,不仅加深了对滤波器基本原理和设计方法的理解,还掌握了ADS软件的使用技巧。同时,也认识到了实验过程中存在的问题和不足,如元件参数的精确调整、仿真参数的优化等。