一.阿尔法冲刺结束后仍旧存在的问题
1.存在问题:教学功能不完善,缺乏必要的文字描述
解决思路:对每个现有的教学视频增加必要的文字描述,使用户可以快速获取视频的主要内容
2.存在问题:爬去的软件范围有限
解决思路:增加edge与firefox的内容
3.存在问题:数据库仅能接受来自Chrome的插件,没有接受来自其他浏览器的插件的能力
解决思路:在插件属性后增加一列标记,用以标明其来源浏览器
4.存在问题:搜索结果中缺乏必要的标志来表明插件适用的浏览器
解决思路:根据数据库的反馈,在插件图标后面新增一个用以描述其来源浏览器的标志
5.存在问题:登陆不便,进入小程序后需要最少两下点击才能进入登陆操作界面
解决思路:进入小程序后,自动弹出登录界面
6.存在问题:openid无法正常存储
解决方法:利用缓存
二.uml图
系统模块类图

软件用例图

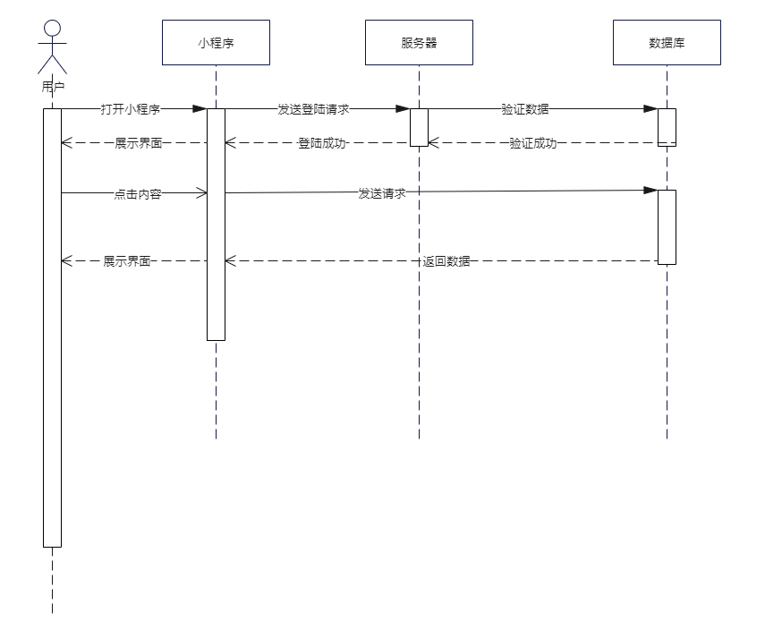
时序图

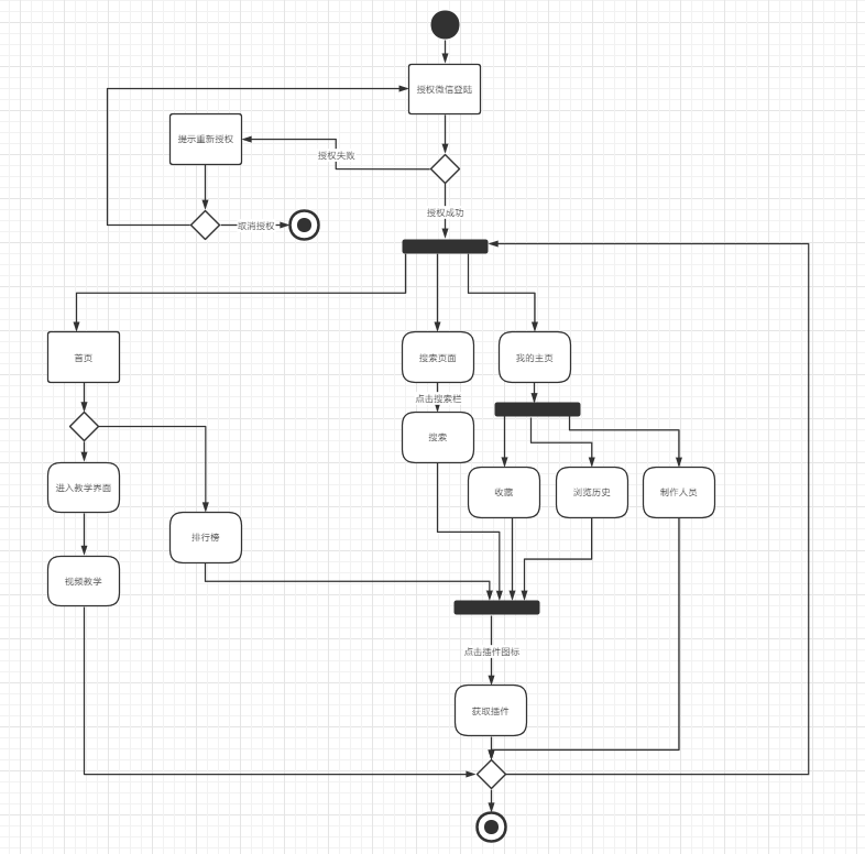
活动图

三.开发进展
1.教学功能改善
旧:

新:

新增文字描述每一节课程的内容,并优化bv号与链接的获取,让用户能更方便的进行学习。
2.增加爬取范围
新增edge与火狐浏览器的插件爬取
3.增加小标题来标明插件来源浏览器
旧:

新:

在插件图标后面的c,f等字母表示插件的来源,c代表chrome,f代表firefox等等
4.登陆功能改善
旧:

新:

进入小程序后,自动弹出登录界面
附上二维码

四.团队协作记录





协作感悟
- 吴子儒
在本次的阿尔法冲刺中,我收获了很多,体会到了软件制作的不易。一个软件需要前端团队与后端团队的密切合作才可以产生,而在这个过程中充满了各种挑战,各种崭新的知识需要我们去征服。非常感谢可以和小组的队员们一起完成这个小程序的制作。 - 徐绍伟
程序猿的浪漫也只在代码里了,其实其他人看到的都是表象 - 蓝廷瀚
随着时间的流逝,小程序的开发工作也逐步进入了尾声,不得不说整个过程是辛苦的:熬了不少夜,花费了许多的精力与时间,需要不断的上网学习新知识来解决迎面而来的问题;同时也是快乐的:结识了新的朋友,小组内的同学从一开始的毫不相识到关系要好,友情在合作的过程中建立,而且解决困难也让我收获了新的技能,可以说“这波不亏”。最后,这次的软工作业给我留下了深刻的回忆,同时也希望能和这次的好友们还能有下一次的共同奋斗。 - 李宏旭
几乎历经半个学期的软工实践终于将要迎来句号,这门课不仅让我经历了一次接近真实的软件开发,也懂得了如何团队协作。同时,也因为团队的需求,对python爬虫有所掌握,学有所成。 - 杨家聪
在这次alpha冲刺完善中,因为上次我们组的大部分功能都基本实现,所以这次也是剩下一些小的细节。在最后发布的时候,因为需要大家都能够扫码使用,发布后因为审核来不及,只能使用测试版。总之,和大家一起快乐打代码还是挺有意思的。 - 康奇涵
以前还不觉得单人开发和团队开发的区别有多大,以为顶多就是把一个人的任务分给了多个人而已,但是其实不然。我也是在经历过团队开发之后,才感觉到了单人开发与团队开发之间的重大区别(大致情况在后面说明),并不仅仅是将任务划分一下就完了。而在之前我之所以任务他们之间的区别不大,只要是因为我忽略了一个问题,在团队中中的每一个人都是一个独立的个体,每一个独立的个体都会拥有一种不一样的思想。一个独立的人思想是可以根据自己本身的需求和意向而改变的,但是如果是一个团队,团队里面同时存在着多种独立的思想,思想与思想之间是会发生碰撞的,有了碰撞之后就极有可能产生争议,一旦产生争议,就是问题的开始。如果没有一个能够拍板的人,那么整个团队将会伴随着越来越多的争议而走向消亡。特别是如果在一个团队中,存在着那种非常固执任性的,不服从指挥,坚持我行我素的人,那么这个团队消亡的速度就会愈发的快了。 - 陆晨阳
在本次实践中,我负责前端的首页和教程界面。开始对微信小程序前端语的学习,所以在最开始编写界面时很顺利。在编程过程中遇到了不少难题,在大家齐心协力下,我们互相帮助,共同克服难关。第一次经历了组队编程,在团队氛围的驱动下工作更高效也更轻松,也不失为一项特别的经历。 - 张宸愉
我本身底子不是很好,在这次的小组合作中发挥的作用相对较小。接下来我还是会继续努力的,我一直在跟着前端小组学习前端知识,虽然我贡献的代码不多,但是我没有放弃学习,就算是抄一抄别的队友的代码,也是一种学习,非常感谢大家对我的包容和扶助。 - 邱德意
人月神话里,合作开发被比作一个焦油坑,在焦油坑里越是挣扎,焦油纠缠的越紧。而通过这次的实践经历,我却看到了软件合作开发与众不同的一面。提交时间线逼近的压迫和软件逐步完成的喜悦同时作用于我们,初期良好的分工合作,让我们在紧张中仍然没有失去继续前进的动力。1+1不一定大于2,但是只要配合的好,至少可以大于1。每个人的工作量总体来说减少了很多,而且一起解决问题确实是一件很让人安心的事。总的来说,这次软工实践是一次很不错的体验,让我体验了很多未曾体验的,也能更客观的看待合作编码了。
五.仓库