434
社区成员
发帖
与我相关
我的任务
分享问题如下:
设某一机器由 n 个部件组成,每一种部件都可以从m个不同的供应商处购得。设 wij 是从供应商 j 处购得的部件 i 的重量,cij 是相应的价格。
试设计一个算法,给出总价格不超过 d 的最小重量机器设计。
输入格式:
第一行有3 个正整数n ,m和d, 0<n<30, 0<m<30, 接下来的2n 行,每行m个数。前n行是c,后n行是w。
输出格式:
输出计算出的最小重量,以及每个部件的供应商
输入样例:
3 3 4
1 2 3
3 2 1
2 2 2
1 2 3
3 2 1
2 2 2
输出样例:
在这里给出相应的输出。例如:
4
1 3 1
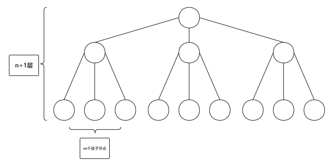
1.1 说明“最小重量机器设计问题"的解空间
解空间是解空间树各个分支对应的解的集合
以样例为例:(1, 1, 1), (1, 1, 2), (1, 1, 3), (1, 2, 1)......
1.2 说明 “最小重量机器设计问题"的解空间树

1.3 在遍历解空间树的过程中,每个结点的状态值是什么
第几个部件,累计价格,累计重量
- 回溯算法本质是搜索,对解空间树所有的节点一个一个向下搜索从而找到最终的解。
- 回溯算法时间复杂度通常是指数级的,一般需要剪枝函数避免不必要的搜索。