489
社区成员
发帖
与我相关
我的任务
分享目录
1)x趋于∞时函数的极限:

2)x趋于+∞时函数的极限:

3)x趋于-∞时函数的极限:

4)x趋于 x0时函数的极限:

5)x趋于x0+时函数的极限 :

6)x趋于x0-时函数的极限:

函数极限定义的扩充(24种) :

1)唯一性:若函数f(x)在x0存在极限,则它的极限是唯一的。以下给出证明:

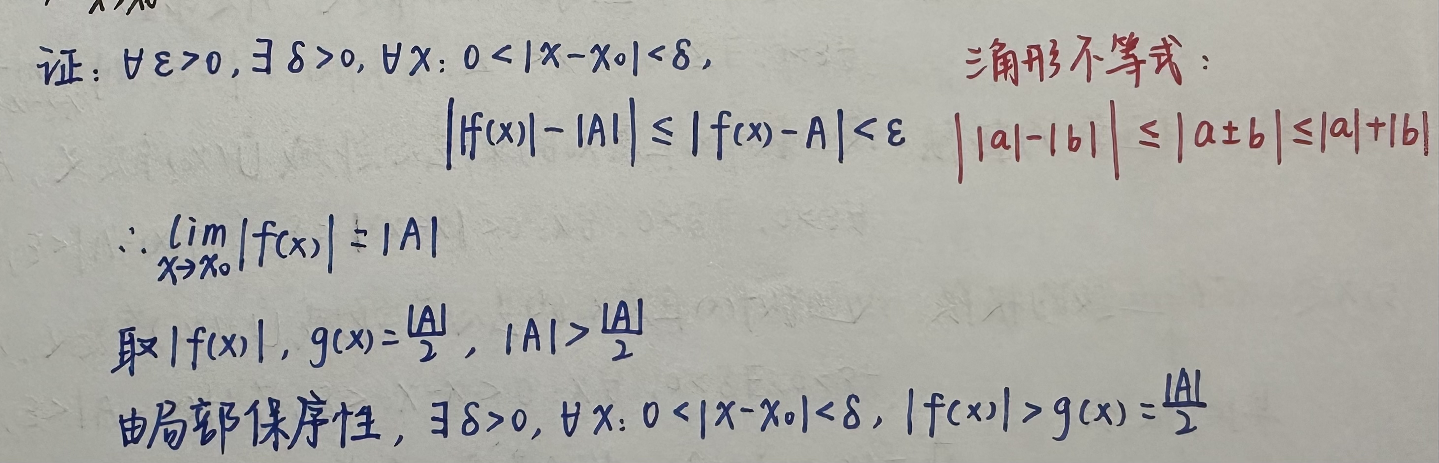
2)局部有界性:若f(x)在x0存在极限,则函数 f(x)在x0的某个去心邻域内有界。对此有两种写法,并分别给出证明:
第一种:

第二种:

(注:此种写法即证明方法需用到函数极限的局部保序性,下面会进行局部保序性的证明。)
3)局部保序性:

以下给出证明:

由函数极限的局部保序性,我们可以得出三个推论。以下分别是这三个推论的陈述与证明:
推论1(局部保号性):

证明过程如下:(此处运用到三角形不等式,三角形不等式在后续的定理证明过程中也会经常用到,不一一说明。)

推论2(局部保不等式性):

以下给出两种证明方法:
证法一:(反证法)

证法二:

推论3:

4)夹逼准则:

以下给出证明:

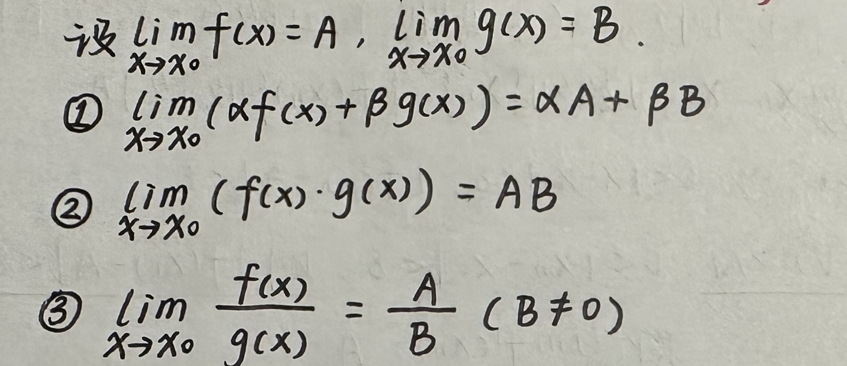
5)函数极限的四则运算:(注意:要排除待定型)

以下给出三种函数极限四则运算法则的证明过程:

6)复合函数的极限运算法则:

以下给出证明过程:

1)海涅定理(Heine定理)(此定理体现了函数极限与数列极限的关系,通常用来证明一个函数在一点没有极限。)

以下给出证明:

由此可以得出两个推论,即证明一个函数在一点没有极限的两种方法:
推论1:

推论2:

2)单调有界定理:设f(x)为定义在x0的一个去心邻域上的单调有界函数,则f(x)在x0点的有极限存在。
以下给出证明:

3)柯西收敛准则(Cauchy收敛准则):

以下给出证明过程:

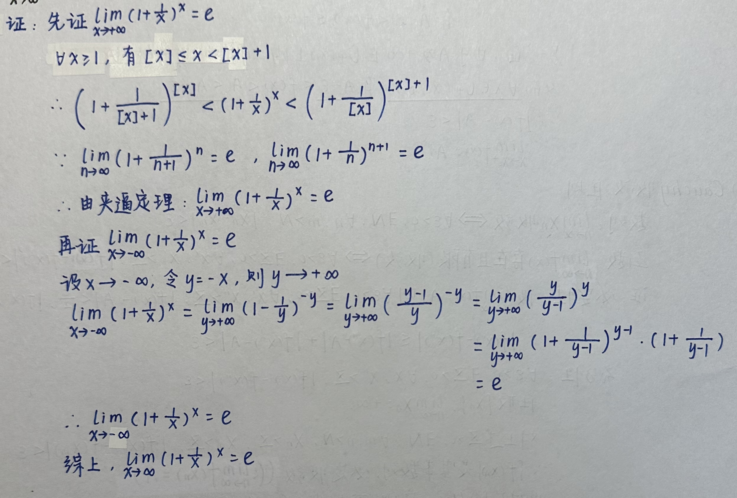
1)

以下给出两种证明方法:
证法一:

证法二:
在数列极限中,我们证明过这个式子:

因此,我们用数列极限来进行证明:

2)

以下给出证明过程:
我们在数列极限中学过这个式子:

因此,我们也用数列极限来证明:
