高等数学_知识分享!

Jierry198 2023-11-21 21:32:04

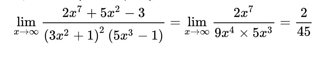
首先知道,多项式,不管是多少项,当 时只需要看最高次项就可以了(大哥)!其它都是小弟,例如

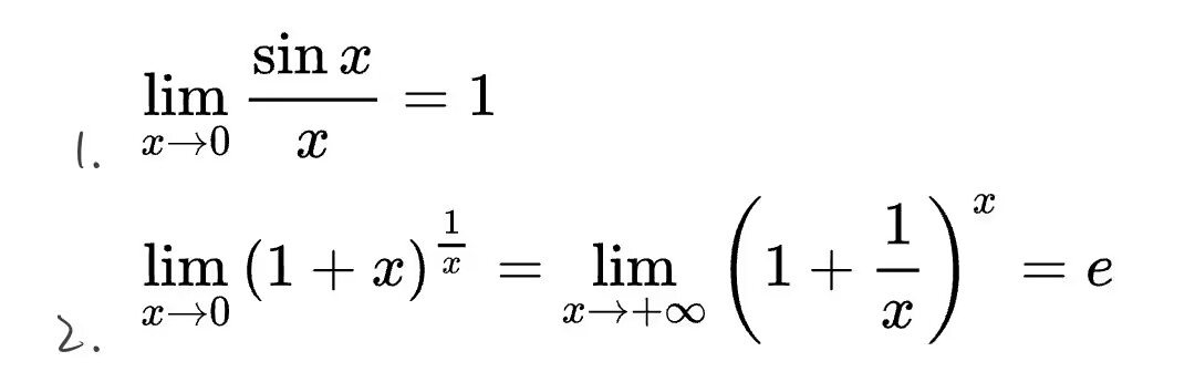
 一.重要极限:包括

 提示:这里的 x 并不是单纯指变量x,而是指任意满足极限下面的条件的,例如

 (变量一致)

二.等价无穷小

几个等价无穷小公式:

三,极限中常见的不等式

 例题:证明,若函数f(x)在[a,+∞)上连续,且,试证:f(x)在[a,+∞)上有界

 

 

 

 

...全文
62 回复 打赏 收藏 转发到动态 举报
写回复
用AI写文章
回复
切换为时间正序
请发表友善的回复…
发表回复

489

社区成员

发帖
与我相关
我的任务
社区描述
闽江学院IT领域专业的学生社区
社区管理员
  • c_university_1157
  • 枫_0329
  • 傅宣
加入社区
  • 近7日
  • 近30日
  • 至今
社区公告
暂无公告

试试用AI创作助手写篇文章吧